图片 我国汽车产业有效竞争模式_中国竞猜网_足球竞彩网▎官方网址

中国竞猜网_足球竞彩网▎官方网址

当前位置:主页 > 毕业论文 > 工商管理 > 企业研究 > >

我国汽车产业有效竞争模式

来源::未知 | 作者:中国竞猜网_足球竞彩网▎官方网址 | 本文已影响

摘要:我国汽车工业目前处于分散经营的过度竞争状态,本文认为政府利益刚性是导致我国汽车产业进入壁垒失效的主要原因,并在此基础上提出了建立战略联盟,实现以寡头主导,大中小企业共生的可行性竞争模式。

  关键词:有效竞争;斯塔博格模型;进入壁垒;战略联盟


  一、理论与模型
  “有效竞争”(effective complete)是由J·M·克拉克针对完全竞争的不可行性提出的。有效竞争的实质就是寻求解决“马歇尔冲突”,使产业组织形成在提高产业集中度,发挥规模经济效益的同时,保持产业内企业间适度竞争活力的可行性竞争态势。
  产业组织理论所推崇的完全竞争,不能实现规模经济和范围经济,不利于企业有效的技术创新。但是寡头垄断又往往获取高额垄断利润,扼杀了竞争活力,阻滞了资源的合理流动,使“市场自调节功能”失败。在现实经济中,大量存在着既非纯粹市场,亦非企业的中间性经济组织现象。如源于日本,以丰田模式为代表的分包制;两个或两个以上有着对等经营实力的企业(或特定事业和职能部门),为达成一定的目标形成的战略联盟;以及在某一特定领域内相互联系的,在地理位置上集中的公司和机构的集群。这种互惠共生,共生进化是共生系统的本质,是自然界中一个主要的组织规则(袁纯清,1998)。Pikard Lasson(1993)就建议用市场组织间协调和科层的三级制度分析框架来替代传统的市场与企业两极分析框架。由此可知:规模经济的要求并非一定要通过横向或纵向一体化的组织模式来实现,采用某些合作竞争型中间性经济组织的模式有时可以更好地达到有效竞争。以下的垄断、古诺和斯塔博格模型的均衡解比较可以更加清楚地说明中间性经济的优越性。设市场总产量为Q,所有厂商边际生产成本相等。面对不同的市场制度,其均衡解不同。
  垄断均衡解总产量和总得益分别为
  
  斯塔博格领导者追随者模型是行业力量对比十分悬殊的公司形成的重复博弈均衡,其总产量大于古诺均衡解和垄断均衡解,总利润小于古诺均衡解模型和垄断均衡解。这种差异垄断竞争均衡是在信息不对称状态下,以团队精神实现资源的有效配置,从而实现有效竞争。
  二、我国汽车产业现状:过度竞争
  1. 市场集中度。市场集中度反映某一市场卖者或买者的规模结构, 2002年我国汽车工业中最大的3家企业集团的市场占有份额分别为:一汽集团 20.37%、上汽集团15.48%、东风公司13.29%,3家企业的市场集中度总共为 49.14%,说明了我国汽车工业大企业集团整体市场集中度很低,与汽车工业发达国家差距很大。但是在某些车型如轿车中,却形成了寡占型的市场结构,上海大众保持着 36.l%的较高市场占有率,一汽和天汽两者合计占有 37.8%。因此,我国的汽车产业市场结构是过度竞争与寡占并存的市场结构。
  2. 规模经济。规模经济是汽车工业的核心问题,离开了规模经济,汽车工业发展的许多问题都不能得到正确的解释。我国2002年汽车总产量只有325.12万辆,不及国外1家大汽车集团的年产量,整体规模很小。按照汽车工业的一般规律,1 个基本车型应有上百万,少则也要三四十万辆的市场支撑才能有竞争力。从企业最低经济规模(MES)看,载货汽车为年产 15万辆,轿车为年产 50万辆。2002年,我国汽车行业只有一汽、东风公司的中型载货汽车产量达到最低经济规模的要求,而轿车没有1家企业达到经济规模。因此,我国汽车工业总体上没有达到规模经济的要求。
  3.进入壁垒。迸入与退出壁垒是从企业进入与退出的角度来考察产业内己有企业与潜在进入退出企业的竞争关系,由此来反映市场潜在的竞争强度。从历年我国汽车工业整车生产企业的增减数目看,从1956年的1家发展到1993年的124家。1994年后,虽然国家颁布《汽车工业产业政策》,该政策对新建汽车业的生产规模作了明确规定,从而对潜在进入者构筑了一道壁垒。但到2002年,我国整车生产企业还有106家,呈现出过度进入状态。
  三、成因分析
  综上所述的种种现状,从制度层面的分析来看,是由于我国的改革开放和经济发展基本上采取了一种地方分权+市场化的模式,这使地方政府不仅获得国有经济的剩余分享权和控制权,而且其调控权限和微观管制职能在一定程度上还得到了强化。在这种格局下,市场机制是在行政权力和市场行为混合作用的状态中逐步发展、完善起来的。因此各城市追求各自地方经济利益,导致行政保护下的过度竞争就不足为奇了。
  对地方政府而言,进入市场目标具有双重性。除了经济效益准则外,还有非盈利的行政目标,诸如扩大就业、社会稳定,建立门类齐全的工业体系等等。
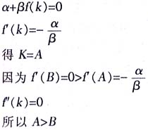
  其总目标可表示为:R=R1+R2=αK+βf(k),其中R1为政府的市场进入总目标;R1为行政目标;R2为经济目标;K为投资规模;f(k)为投资的效益函数;α为投资对总目标的贡献系数;β为效益对总目标的贡献系数,α+β=1。

如果进入者只是以利润最大化为目标 ,而不考虑行政目标,则其一阶极值条件为:f′(k)=0,得K=B。
  然而,若考虑行政目标,按照边际收益递减规律,经济效益目标是与投资规模呈上凸的函数关系(即f″(k)<0),可见在一定条件下,即投资效益函数值达到顶点后,投资增长与投资效益、行政目标与经济目标是相矛盾的,因而政府的市场进入必须对二者进行权衡,以求得总目标(R)最大化。即:MɑxR=Mɑx[αK+β(K)]
  一阶极值条件为:
  
  这就是说,在政府进入目标多元化情况下,政府的市场进入不会把投资规模定在利润最大化的水平上,这时政府的均衡投资(即A点)必然大于利润最大化的均衡投资(即B点),即产生了过度进入行为。而且行政目标的权重越重,?琢值越大,政府均衡投资对利润最大化的均衡投资的偏离值也越大。这一结论意味着,只要企业的产出量的增长能够带来地方税源的增加,则企业就可以在地方政府的庇护下不管盈亏状况如何,继续运转下去。地方政府的利益刚性导致过度进入,从而形成汽车产业分散经营,集中度低的现状。
  四、有效竞争的实现途径
  由于行政划分导致汽车市场的割据状态必然影响汽车产业以横向或纵向并购的方式来规模化重组的效率。现实有效的途径是将汽车产业联系内部化,通过组织协同大中小企业关系,在各种规模的企业间形成有效的分工协作体系,整合形成若干具有规模经济优势的跨地区企业战略联盟。作为独立于地方政府的利益主体,战略联盟能够规避地区分割和不适当的行政分割,在区域内自行优化资源配置,建立产业组织体系,形成产业群,从而实现提高产业集中度,实现规模经济的可行性竞争态势。
  1. 建立战略联盟:差异垄断竞争的均衡。
  (1)供应链:零部件与销售。零部件供应体系可以划分成三个层次,即模块层、部件层和零件层。供应商应明确自身所处的层次,寻找规模化的共性,注重宽系列、多品种与供应规模之间的关系。模块层要注意与汽车制造商之间的密切沟通,参与整车厂的同步开发,“即装即到”装配概念应在汽车零件供应商和汽车制造商之间运用和推广。在汽车零部件企业与汽车制造商的配套关系上,应打破地区性和行政性的封锁,汽车制造商与零部件企业的关系完全按市场经济的规律进行运作。
  另外,我国的汽车产业的生产、销售、维修是脱节的,应该加强厂家与经销商、售后服务之间的合作关系。通过轿车生产厂商—销售公司—代理商的全国联网系统,建立公共数据库,交流信息,提高效率,并可以实现系统整体目标。
 (2)产业链:分工和协作网络。核心企业是指在产业内具有相对竞争优势,并且能够产生关联效应、带动产业成长的企业。核心企业根据专业分工要求分包给其他中小企业,从而形成多层次的分工协作体系。核心企业不再从其内部提供所需的大部分资源,而是作为“协调中心”,把生产过程建立在与分包商和供应商长期交易关系的基础上。
  (3)产业组织:一体化和产业内贸易。汽车企业战略联盟的协作分工促进了产业组织一体化的形成,也使产业内贸易得以发展。所谓产业内贸易,是指同一产业部门内的某一项产品同时发生输出和输入的活动。其产生的主要原因是规模经济、产品差异、需求重叠。
  产业内贸易使政府在财政税收体制上要采取相应的变革,改变目前对产地有利的征税办法,使其对投资者所在地和投资企业有利。要加速理顺分布在不同地区的企业集团成员之间的税收关系、贷款关系、外汇关系、受益分配关系和业绩统计关系,使企业集团摆脱条块体制分割的禁锢。
  2. 创造有利的外部性:政府与企业之间的长期均衡。
  (1)转变政府职能。汽车产业协作必须以市场推动为主,地方政府应从优势互补,分工协作的区域共融角度出发,提供适当的政策引导和扶持,并着力理顺市场机制,给各经济主体一个最合理的经济运行空间,规范和优化可行性竞争的市场环境,促进公平有效的竞争。
  (2)强化企业投资硬约束。预算硬约束是指地方政府决定投资某一建设项目(或企业)时,其资金运用不能超过当期收益或未来收益的现值所确定的限度,这样就迫使地方政府承担投资风险,在成本与收益的理性分析之后谨慎做出决策,努力实现投资效益的最大化。而可见预算硬约束机制能在投资决策期防范盲目建设,重复投资行为的发生,确保投资主体的理性决策,防止过度进入。
  (3)强化市场竞争硬约束。竞争硬约束是指地方政府投资建立的企业在产品市场上面临着公平、激烈的市场竞争,无法借助行政手段保护自己。地方政府应从大局出发,用长远和发展的眼光看问题,逐步消除对本地企业的“父爱”情结。由公平竞争产生淘汰机制,经过筛选后继续保留在产业内部的企业通常具有较高的技术效率或资源配置效率,而不具竞争力的企业则被淘汰出局,通过破产或转产等方式退出市场,使市场均衡重新恢复。
  (4)鼓励多种经济成分进入汽车产业。政府应鼓励民间资本的介入,发展非国有制经济,与此同时也可解决资金问题和决策非理性问题。借助于对国有经济的股份制、民营化改造和非国有经济的成长,将国有资产逐步从竞争性产业中撤出,使地方政府不能以所有者身份获取企业的剩余索取权,切断行政保护与地方收益之间的利益激励。


  参考文献:
  1.斯蒂芬.马丁.高级产业经济学.上海:上海财经大学出版社,2003.
  2.谢识予.经济博弈论.上海:复旦大学出版社,2002.
  3.杜传忠.网络型寡占市场结构与中国产业的国际竞争力.中国工业经济,2003,(6)


中国竞猜网_足球竞彩网▎官方网址

热榜阅读TOP

本周TOP10

我国汽车产业有效竞争模式

我国汽车产业有效竞争模式

摘要:我国汽车工业目前处于分散经营的过度竞争状态,本文认为政府利益刚性是导致我国汽车产业进入壁垒失...